EBOOK
  • Dmca
  • Contact
  • Privacy Policy
  • Copyright

Vetassess Practice Test Nursing Pdf

Https Publications Iom Int System Files Pdf Headstart To Integration Pdf

Https Publications Iom Int System Files Pdf Headstart To Integration Pdf

Newstars Education And Migration Canberra Postări Facebook

Newstars Education And Migration Canberra Postări Facebook

Skilled Nominated Subclass 190 Visa Work Live Play

Skilled Nominated Subclass 190 Visa Work Live Play

Https Www Aph Gov Au Parliamentary Business Committees House Of Representatives Committees Url Mig Recognition Report Fullreport Pdf

Https Www Aph Gov Au Parliamentary Business Committees House Of Representatives Committees Url Mig Recognition Report Fullreport Pdf

Pdf A Report On Recognition Of Prior Learning Rpl Policy And

Pdf A Report On Recognition Of Prior Learning Rpl Policy And

New Occupation List Pdf Specialty Medicine Nursing
Wasmol Nursing Engineer
Epic Skills Assessment Test Software Developer Pdf Free Download
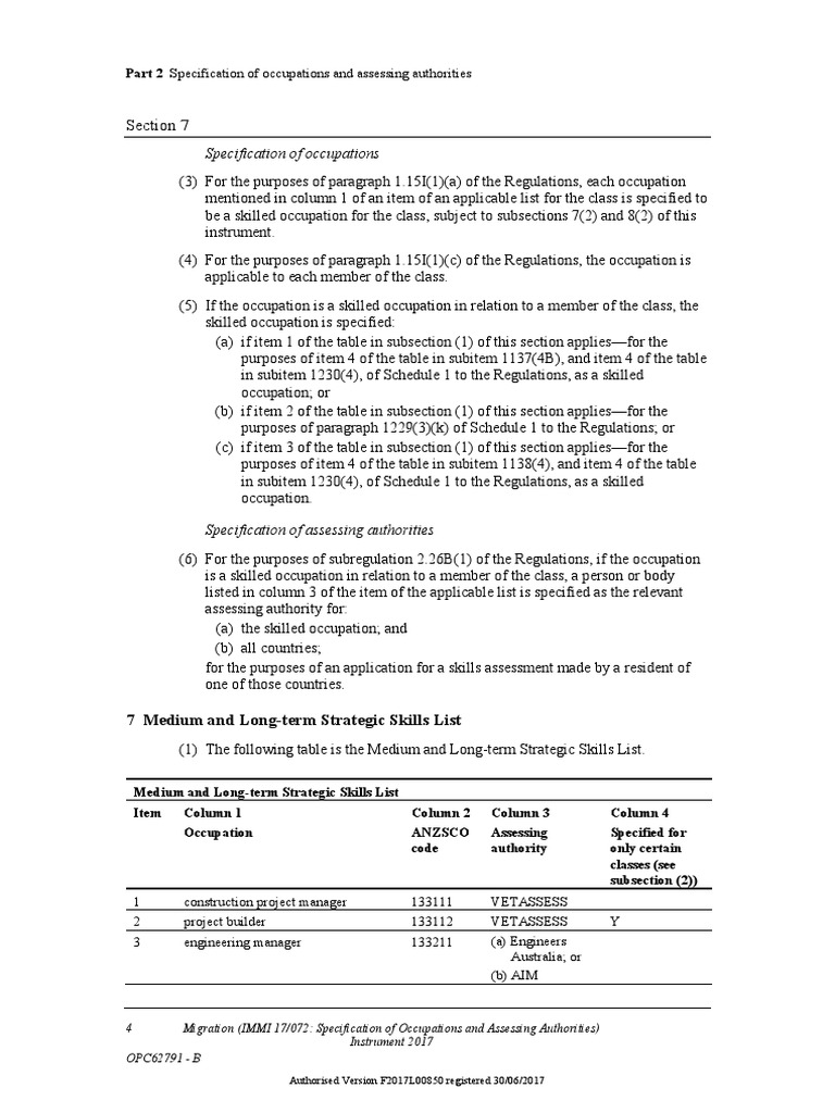
Medium And Long Term Strategic Skills List Mltssl Anzscosearch
Scvi Migration Level 3 99 St Georges Terrace Perth 2020
Skill Assessment Bodies Registered Migration Australia
Https Www Anmac Org Au Sites Default Files Documents 20170111 Enas Draft Consultation Paper 2 Final Pdf
12secjour Furansugo Bunpo Master Japanese Edition Book Pdf Free
Vetassess Essay Topic Examples Student Nursing Nursing General
26 Best Ucgareentfa Images In 2020 Repair Manuals Manual
Immigration Archives Vivid Education
Csol 2 Specialty Medicine Farmer Free 30 Day Trial Scribd
Https Www Pmc Gov Au Sites Default Files Publications Strengthening Skills Independent Review Australia Vets 1 Pdf
Scvi Migration Level 3 99 St Georges Terrace Perth 2020
Abroad Immigartion Like Australia And Canada Uk Usa Hong Kong Immigra
2
Aptc E Scan 2018 Web Pages 151 166 Text Version Fliphtml5
Occupation List 190 Visa Pdf International English Language
Uee11 Electrotechnology Training Package Manualzz
Professional Visa And Education Services المنشورات فيسبوك
Numeracy Preparation Guide For The Vetassess Test For
Hello Newbies Here Just Starting Out Vetassess Questions For
Download Literacy Preparation Guide For Vetassess Nursing
The Grunbaum Family Juden In Themar Their Voices Live On
Tasmania State Sponsorship 190 489 Visa
The Velveteen Rabbit Beginner Child Keepsake Story Pages 1 12
List Of General Professional Occupations Assessed By Vetassess
Pdf Mature Age Students Access Entry And Success In Nurse
457 Fact Sheet Motor Mechanic General Light Vehicle Auto
Assessment Registered Migration Australia
Pdf The Impact Of Skilled Migration On Foreign Qualification
Numeracy Preparation Guide For The Vetassess Test For
Vetassess List Of General Professional Occupations Psychotherapy
Pdf Mature Age Students Access Entry And Success In Nurse
Vetassess Skills Assessment Professional Occupations
Hello Newbies Here Just Starting Out Vetassess Questions For
The Velveteen Rabbit Beginner Child Keepsake Story Pages 1 12
Jkl Psychotherapy Occupational Safety And Health
Https Www Aph Gov Au Parliamentary Business Committees House Of Representatives Committees Url Haa Overseasdoctors Subs Sub110 Pdf
Download Vetassess Literacy Preparation Guide Nursing Manual
Immigration Archives Vivid Education
Http Wcitlibrary Pbworks Com F Certificateiv Nursing Numeracy Test Preparation Guide Pdf Ld 1
Http Groningendeclaration Org 201704 Summary17 Pdf
Numeracy Preparation Guide For The Vetassess Test For
Demand List Australia 2013
Numeracy Preparation Guide For The Vetassess Test For
2
Http Ec Europa Eu Social Blobservlet Docid 9933 Langid En
Course Handbook 2013 Mafiadoc Com
Resources Vetassess
Pdf Free Download Glimpses Of Unfamiliar Japan Vol 2 Illustrated
Free 9 Sample Interview Assessment Forms In Pdf Ms Word
Literacy Preparation Guide For Vetassess Rtf Google Free
Csol Specialty Medicine Physician Free 30 Day Trial Scribd
Denmark
26 Best Ucgareentfa Images In 2020 Repair Manuals Manual
Test Design Administration Vetassess
Engineering Play A Cultural History Of Childrens Software Book Pdf
Numeracy Preparation Guide For The Vetassess Test For
Ehfthwpsnl2p5m
Arco Nursing School And Allied Health Entrance Exam Online Sample
Novel Coronavirus Covid 19 Outbreak What It Means For
Csol 2 Specialty Medicine Farmer Free 30 Day Trial Scribd
Https Www Anmac Org Au Sites Default Files Documents 20170111 Enas Draft Consultation Paper 2 Final Pdf
Parish Patience Immigration Lawyers Posts Facebook
Resources Vetassess
Pdf Marketisation Of Immigrant Skills Assessment In Australia In
Skilled Occupation List Sol Schedule 1
Pdf The Impact Of Skilled Migration On Foreign Qualification
Denmark
Riroxasa Ttqollxcmfe On Pinterest
Https Www Cairnschamber Com Au Files Media Original 36c 3c3 12c Fnq Dama Request For Endorsement 20190917 Pdf
Vetassess Essay Topic Examples Student Nursing Nursing General
Https Www Pc Gov Au Inquiries Completed Migrant Intake Report Migrant Intake Report Pdf
Https Publications Iom Int System Files Pdf Running Effective Migrant Resource Centre Pdf
Skilled Occupation List Sol Pdf Free Download
Numeracy Preparation Guide For The Vetassess Test For
Nursing Related Migration News Work Visa Lawyers Work Visa Lawyers
Skilled Migration News Archives Immigration And Visa To Australia
Resources Vetassess
Eduaid Skilled Occupation List For Point Based Australia
Vetassess Skills Assessment Trade Occupations Australian
Reading And Numeracy Tests Vetassess
Numeracy Preparation Guide For The Vetassess Test For
Numeracy Preparation Guide For The Vetassess Test For
Aptc E Scan 2018 Web Pages 151 166 Text Version Fliphtml5
Pdf Befelino Xehutide Lyheruvupo Academia Edu
Https Www Pmc Gov Au Sites Default Files Publications Strengthening Skills Independent Review Australia Vets 1 Pdf
Numeracy Preparation Guide For The Vetassess Test For
Literacy Preparation Guide For Vetassess Nursing
Denmark
Numeracy Preparation Guide For The Vetassess Test For
Numeracy Preparation Guide For The Vetassess Test For
Pdf Free Download Perfectae Caritatis Texto E Comentario Book
Skill Occupation List Australia Specialty Medicine Medicine

Random Posts

  • Pharmaceutical Engineering Subramanyam Pdf
  • Fifty Years In China The Memoirs Of John Leighton Stuart Missionary And Ambassador Pdf
  • Drugs In American Society 8th Edition Pdf
  • Manual Nissan Terrano 4x4 Pdf
  • John Deere La135 Service Manual Pdf
  • The Dream Giver Following Your God Given Destiny Pdf
  • Nobel Biocare Osseoset 200 Manual Pdf
  • Download Online Freedom Of Simplicity
  • Kenmore Bread Maker 10029720210 Manual Pdf
  • Serway Physics 9th Edition Solutions Volume 1 Pdf
Dmca Contact Privacy Policy Copyright

Download Or Reading Online Serway Physics 9th Edition Solutions Volume 1 Pdf Here